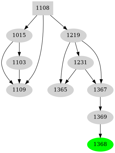
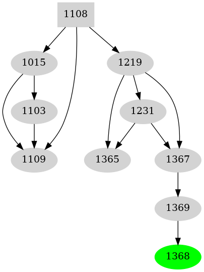
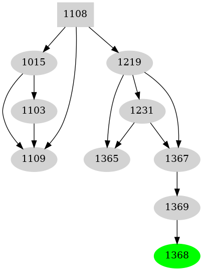
Bugzilla – Dependency Graph for bug
1108
IOUtil.getTempDir(..): Difficulties to determine executable access permission on Windows via BATCH file execution
Home
|
New
|
Browse
|
Search
|
[?]
|
Reports
|
Log In
[x]
|
Forgot Password
Login:
[x]
Green circles represent open bugs.
Bug numbers
:
Show the summaries of all displayed bugs
Display:
Restrict to bugs having a direct relationship with entered bugs
Show all bugs having any relationship with entered bugs
Orientation:
Top to bottom
Bottom to top
Left to right
Right to left